400-900-4166

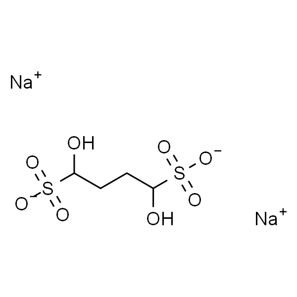
1,4-二羟基-1,4-丁二磺酸二钠盐,>92.0%(T)

Succinaldehyde Disodium Bisulfite

(订货以英文名为准)
产品编号:TCI-S0216 CAS:5450-96-4 分子式:C₄H₈Na₂O₈S₂ 品牌:TCI
中文名称:
1,4-二羟基-1,4-丁二磺酸二钠盐
英文名称:
Succinaldehyde Disodium Bisulfite
CAS No.:
5450-96-4
分子式:
C₄H₈Na₂O₈S₂
分子量:
294.21
熔点:
300°C
保存条件:
2-8℃
危化品级别:
关于的化合物详细属性等信息,点击“5450-96-4
技术资料
DATA SHEET
历史浏览记录
​Copyright ◎ 2018 ACMEC-E.COM-版权所有,未经授权禁止拷贝本站资料,如有违反,将追究法律责任
yabo官网手机版
沪公网安备31012002005909号   沪ICP备18007380号-1
本网站销售的所有产品仅用于工业应用或者科学研究等非医疗目的,不可用于人类或动物的临床诊断或者治疗,非药用,非食用。
危险品化学品经营许可证    营业执照(三证合一)
Baidu
map