猜你喜欢
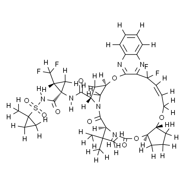
中文名称:
ABT-493
英文名称:
Glecaprevir
CAS No.:
1365970-03-1
分子式:
C₃₈H₄₆F₄N₆O₉S
分子量:
838.87
InChIKey:
MLSQGNCUYAMAHD-ITNVBOSISA-N
InChI:
InChI=1S/C38H46F4N6O9S/c1-35(2,3)28-32(50)48-19-20(17-24(48)30(49)46-37(18-21(37)29(39)40)33(51)47-58(53,54)36(4)14-15-36)56-31-27(43-22-9-5-6-10-23(22)44-31)38(41,42)13-8-16-55-25-11-7-12-26(25)57-34(52)45-28/h5-6,8-10,13,20-21,24-26,28-29H,7,11-12,14-19H2,1-4H3,(H,45,52)(H,46,49)(H,47,51)/b13-8+/t20-,21+,24+,25-,26-,28-,37-/m1/s1
Pubchem ID:
技术问答
Tags:ABT-493,1365970-03-1,cas号:1365970-03-1,cas:1365970-03-1
沪公网安备31012002005909号


.png)



.png)



